Mores Pics | Update Everything

Bmat101l Tutorial Sheet Module 2 Bmat101l Differential Equations

Bmat101l Tutorial Sheet Module 2 Bmat101l Differential Equations

Bmat101l Tutorial Sheet Module 2 Bmat101l Differential Equations. Discover ideas like: BMAT102L Module1 TutorialSheet1.Pdf - Differential Equations And ...,...
Find More About "Bmat101l Tutorial Sheet Module 2 Bmat101l Differential Equations"

Explore exclusive offers, detailed information, and related services about bmat101l tutorial sheet module 2 bmat101l differential equations from our trusted partners.

View Special Offers

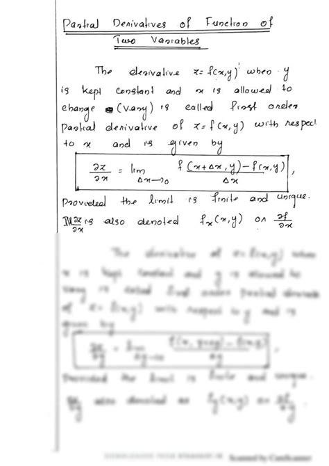
SOLUTION: Mat 101 module 2 notes - Studypool

SOLUTION: Mat 101 module 2 notes - Studypool

Source: sp-uploads.s3.amazonaws.com

Mat101 linear equations - MAT101 - Studocu

Mat101 linear equations - MAT101 - Studocu

Source: d20ohkaloyme4g.cloudfront.net

Bmat 2 | PDF | Voltage | Physical Sciences

Bmat 2 | PDF | Voltage | Physical Sciences

Source: imgv2-2-f.scribdassets.com

BMAT101L Problem Sheet Module 4. | PDF

BMAT101L Problem Sheet Module 4. | PDF

Source: imgv2-2-f.scribdassets.com