Mores Pics | Update Everything

Esterification Alcohol Carboxylic Acid Reactions Mechanism Uses

Esterification Alcohol Carboxylic Acid Reactions Mechanism Uses

In addition to the information above, here is a curated collection of images related to Esterification Alcohol Carboxylic Acid Reactions Mechanism Uses.

  • Conversion Of Carboxylic Acids To Esters Using Acid And Alcohols ...
  • ESTERIFICATION REACTION – My Chemistry Blog
  • Esterification Mechanism
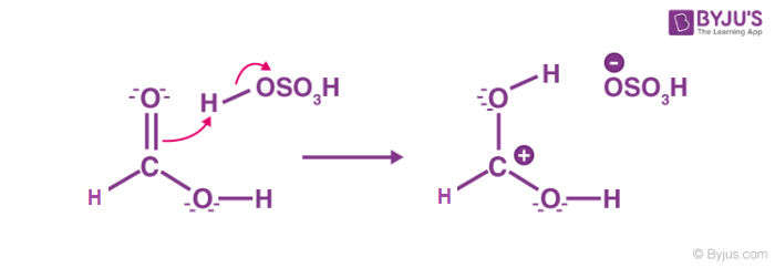
  • Esterification (Alcohol & Carboxylic Acid) - Reactions Mechanism & Uses ...
  • SOLVED: Esterification, Which Forms A Carboxylic Acid Ester From A ...
Find More About "Esterification Alcohol Carboxylic Acid Reactions Mechanism Uses"

Explore exclusive offers, detailed information, and related services about esterification alcohol carboxylic acid reactions mechanism uses from our trusted partners.

View Special Offers

Esterification Mechanism

Esterification Mechanism

Source: cdn.masterorganicchemistry.com

Esterification Mechanism

Esterification Mechanism

Source: cdn.masterorganicchemistry.com

Fischer Esterification Mechanism Carboxylic Acid

Fischer Esterification Mechanism Carboxylic Acid

Source: cdn.masterorganicchemistry.com