Mores Pics | Update Everything

Set1 Ka Kb Pka Pkb Ph Pdf

Set1 Ka Kb Pka Pkb Ph Pdf

In addition to the information above, here is a curated collection of images related to Set1 Ka Kb Pka Pkb Ph Pdf.

  • How To Find PKb From PKa? (PKa To PKb), Relation, Examples
  • PH, POH, H3O+, OH-, Kw, Ka, Kb, PKa, And PKb ... - YouTube Doc Template ...
  • Solved The PKb Values For The Dibasic Base B Are PKb1=2.10 | Chegg.Com
  • Equilibrium Constants Ka And Kb Pka Pkb Acid Base, 40% OFF
  • PH, PKa, Ka, PKb, And Kb In Chemistry
Find More About "Set1 Ka Kb Pka Pkb Ph Pdf"

Explore exclusive offers, detailed information, and related services about set1 ka kb pka pkb ph pdf from our trusted partners.

View Special Offers

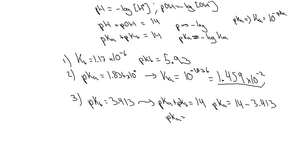
A) pKa + pKb = 14

A) pKa + pKb = 14

Source: s3.studylib.net

Set1 Ka, KB, Pka, PKB, PH | PDF

Set1 Ka, KB, Pka, PKB, PH | PDF

Source: imgv2-2-f.scribdassets.com

PH MTK KPK FPB | PDF

PH MTK KPK FPB | PDF

Source: imgv2-1-f.scribdassets.com