Mores Pics | Update Everything

Solved 1 5 Marks Solve The Equation Z 1 Z 2 I For Z And Chegg Com

Solved 1 5 Marks Solve The Equation Z 1 Z 2 I For Z And Chegg Com

In addition to the information above, here is a curated collection of images related to Solved 1 5 Marks Solve The Equation Z 1 Z 2 I For Z And Chegg Com.

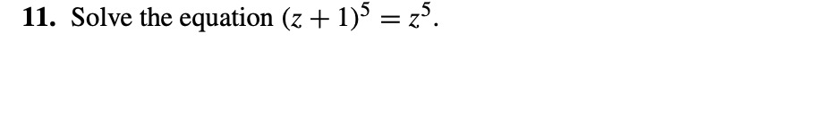
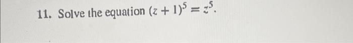
  • Solved 11. Solve The Equation (Z+1)5=Z5. | Chegg.Com
  • Solved Solve The Equation. Z−55z+Z−41=−1 Select One: A. | Chegg.Com
  • Solved 1. Let X1(Z)=Z+2+3z−1, And X2(Z)=2z2+4z+3+5z−1. | Chegg.Com
  • Solved 1. (5 Marks) Solve The Equation ∣Z+1∣+Z=2−I For Z And | Chegg.Com
  • Solved (1 Point) Solve The Following Equations For Z : (A) | Chegg.Com
Find More About "Solved 1 5 Marks Solve The Equation Z 1 Z 2 I For Z And Chegg Com"

Explore exclusive offers, detailed information, and related services about solved 1 5 marks solve the equation z 1 z 2 i for z and chegg com from our trusted partners.

View Special Offers