Mores Pics | Update Everything

Solved 1 Point Math 215 Homework Homework10 Problem 7 Chegg Com

Solved 1 Point Math 215 Homework Homework10 Problem 7 Chegg Com

In addition to the information above, here is a curated collection of images related to Solved 1 Point Math 215 Homework Homework10 Problem 7 Chegg Com.

  • Solved (1 Point) Math 215 Homework Homework10, Problem 7 | Chegg.Com
  • Solved Math 215 Homework Homework10, Problem 4 Consider The | Chegg.Com
  • Solved (1 Point) Math 215 Homework Homework10, Problem 5 In | Chegg.Com
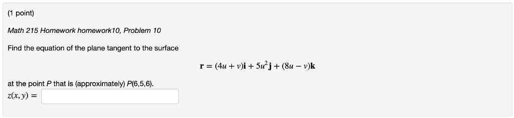
  • Solved 1 Point Math 215 Homework Homework10, Problem 10 Find | Chegg.Com
  • Solved Math 215 Homework Homework10, Problem 9 Fill In The | Chegg.Com
Find More About "Solved 1 Point Math 215 Homework Homework10 Problem 7 Chegg Com"

Explore exclusive offers, detailed information, and related services about solved 1 point math 215 homework homework10 problem 7 chegg com from our trusted partners.

View Special Offers