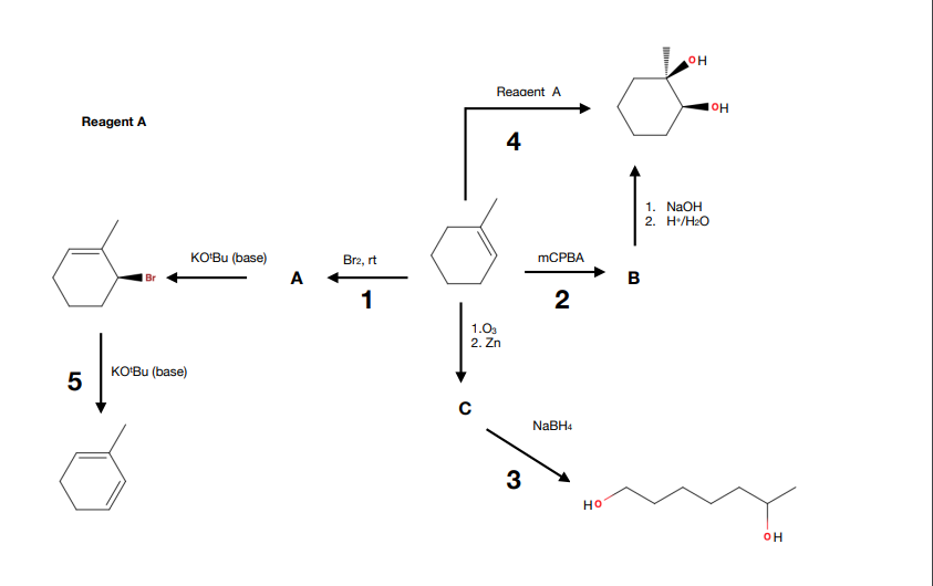
Mores Pics | Update Everything

Solved 3 Give The Mechanism For The Following Reaction Chegg Com

Solved 3 Give The Mechanism For The Following Reaction Chegg Com

In addition to the information above, here is a curated collection of images related to Solved 3 Give The Mechanism For The Following Reaction Chegg Com.

  • Solved 4. Give A Mechanism Of The Following Reaction | Chegg.Com
  • Solved Give Reaction Mechanism With Details For Following | Chegg.Com
  • Solved 19. Give A Mechanism For The Following Reaction Вт | Chegg.Com
  • Solved Complete The Mechanism For The Following Reaction. | Chegg.Com
  • Solved Give The Mechanism Of The Following Reaction. (For | Chegg.Com
Find More About "Solved 3 Give The Mechanism For The Following Reaction Chegg Com"

Explore exclusive offers, detailed information, and related services about solved 3 give the mechanism for the following reaction chegg com from our trusted partners.

View Special Offers