Mores Pics | Update Everything

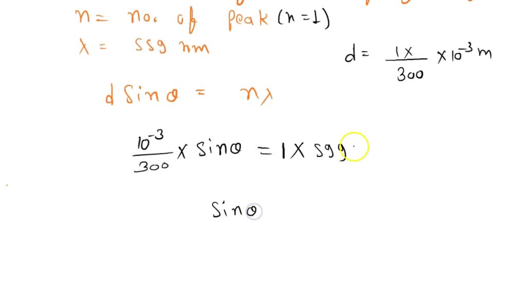
Solved A Commercial Diffraction Grating Has 300 Lines Per Or Cheggcom

Solved A Commercial Diffraction Grating Has 300 Lines Per Or Cheggcom

In addition to the information above, here is a curated collection of images related to Solved A Commercial Diffraction Grating Has 300 Lines Per Or Cheggcom.

  • SOLVED:A High-Resolution Grating 260 Mm Wide, With 300 Lines Per Millimeter, At About 75^∘ In ...
  • Solved Part A A Commercial Diffraction Grating Has 300 Lines | Chegg.Com
  • SOLVED: -A Diffraction Grating With 300 Lines Per Mm Is Used In An Experiment To Study The ...
  • Solved A Diffraction Grating With 300 Lines Per Mm Is Used | Chegg.Com
  • SOLVED: Diffraction Gratings Are Usually Described Not By The Separation Between Adjacent Lines ...
Find More About "Solved A Commercial Diffraction Grating Has 300 Lines Per Or Cheggcom"

Explore exclusive offers, detailed information, and related services about solved a commercial diffraction grating has 300 lines per or cheggcom from our trusted partners.

View Special Offers

schoolphysics ::Welcome::

schoolphysics ::Welcome::

Source: www.schoolphysics.co.uk

schoolphysics ::Welcome::

schoolphysics ::Welcome::

Source: www.schoolphysics.co.uk