In addition to the information above, here is a curated collection of images related to Solved Apply The Final Value Theorem To F S S S 7 270 S 3 Chegg Com.
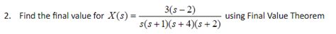
- Solved 2. Find The Final Value For | Chegg.com
- Solved Part A 255 Apply The Final-value Theorem To F(s) To | Chegg.com
- Solved 3.7 Obtain The Final Value Of The Following Functions | Chegg.com
- Solved Apply The Final-value Theorem To F(s)=s(s+5)285(s+3) | Chegg.com
- Solved Apply The Final-value Theorem To F(s)=s(s+4)240(s+3) | Chegg.com
 
                             
                             
                             
                             
                            