Mores Pics | Update Everything

Solved Causes Cleavage Of An Activation Pathway Classical Chegg Com

Solved Causes Cleavage Of An Activation Pathway Classical Chegg Com

In addition to the information above, here is a curated collection of images related to Solved Causes Cleavage Of An Activation Pathway Classical Chegg Com.

  • Solved - | Chegg.Com
  • Solved Draw A Complete Mechanism And Predict The Products | Chegg.Com
  • Solved Question 3. Complete The Following Oxidative | Chegg.Com
  • Solved Consider The Mechanism Of The Acid-Catalyzed Cleavage | Chegg.Com
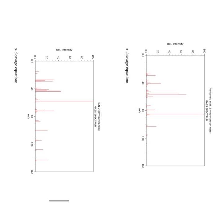
  • Solved 10. α-Cleavage Mechanism: The Mechanism Shown For The | Chegg.Com
Find More About "Solved Causes Cleavage Of An Activation Pathway Classical Chegg Com"

Explore exclusive offers, detailed information, and related services about solved causes cleavage of an activation pathway classical chegg com from our trusted partners.

View Special Offers

Solved - | Chegg.com

Solved - | Chegg.com

Source: media.cheggcdn.com

Solved: | Chegg.com

Solved: | Chegg.com

Source: d2vlcm61l7u1fs.cloudfront.net

Solved Question | Chegg.com

Solved Question | Chegg.com

Source: media.cheggcdn.com

Solved | Chegg.com

Solved | Chegg.com

Source: d2vlcm61l7u1fs.cloudfront.net