Mores Pics | Update Everything

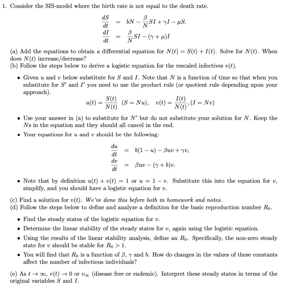
Solved This Chegg Question Has Four Parts The First Chegg Com

Solved This Chegg Question Has Four Parts The First Chegg Com

In addition to the information above, here is a curated collection of images related to Solved This Chegg Question Has Four Parts The First Chegg Com.

  • Solved This Chegg Question Has Two Parts, 1,2. To Receive A | Chegg.Com
  • Solved This Chegg Question Has Two Parts,6,7. Please Provide | Chegg.Com
  • Solved This Chegg Question Has Two Parts, 1,2. Please | Chegg.Com
  • Solved First 3 Part Are Solved By The Chegg Expert Please | Chegg.Com
  • I Have Found This Question On Chegg But No One Has | Chegg.Com
Find More About "Solved This Chegg Question Has Four Parts The First Chegg Com"

Explore exclusive offers, detailed information, and related services about solved this chegg question has four parts the first chegg com from our trusted partners.

View Special Offers

Question | Chegg.com

Question | Chegg.com

Source: d2vlcm61l7u1fs.cloudfront.net

Solved | Chegg.com

Solved | Chegg.com

Source: d2vlcm61l7u1fs.cloudfront.net

Solved | Chegg.com

Solved | Chegg.com

Source: d2vlcm61l7u1fs.cloudfront.net

Solved Question | Chegg.com

Solved Question | Chegg.com

Source: media.cheggcdn.com