Mores Pics | Update Everything

Application Of Derivatives Jee Math Problems And Solution

Application Of Derivatives Jee Math Problems And Solution

In addition to the information above, here is a curated collection of images related to Application Of Derivatives Jee Math Problems And Solution.

  • SOLUTION: 10 Applications Of Derivatives Ii - Studypool
  • Applications Of Derivatives Exercise 10(G) Solutions Inter - MATHS GLOW
  • JEE Mathematics Application Of Derivatives MCQs Set A With Answers
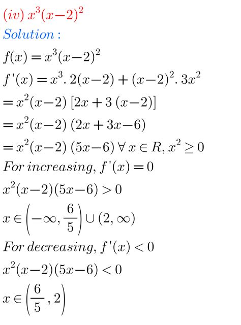
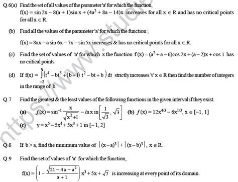
  • Application Of Derivatives JEE Math Problems And Solution
  • Applications Of Derivatives Exercise 10(D) Solutions Inter - MATHS GLOW
Find More About "Application Of Derivatives Jee Math Problems And Solution"

Explore exclusive offers, detailed information, and related services about application of derivatives jee math problems and solution from our trusted partners.

View Special Offers