In addition to the information above, here is a curated collection of images related to Genetic Mutations That Hyperactivate The Ras Raf Mek Erk Signaling.
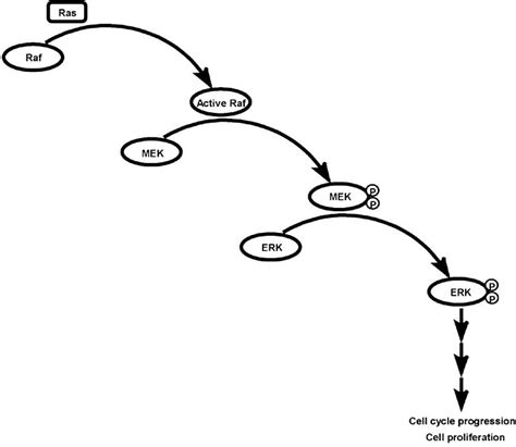
- Simplified Schemes Of The Ras-raf-mek-erk Pathway. (a) Physiologic ...
- Effect Of Ruc On The Regulation Of The Ras/raf/mek/ Erk Signaling ...
- Simplified Schematic Of The Ras-raf-mek-erk Signaling Pathway, The ...
- The Ras/raf/mek/erk Signaling Pathway In Lm And Potential Therapeutics ...
- Role Of Ras-raf-mek-erk (mapk) Signaling Pathway In Melanoma Invasion ...
 
                             
                             
                             
                            