Mores Pics | Update Everything

Math220 Hw9 30029532 Proof Concepts Mathematics 220 Homework 9

Math220 Hw9 30029532 Proof Concepts Mathematics 220 Homework 9

In addition to the information above, here is a curated collection of images related to Math220 Hw9 30029532 Proof Concepts Mathematics 220 Homework 9.

  • 220-HW2-2022 - Math220 - Mathematics 220, Spring 2020 Homework 2 Due In ...
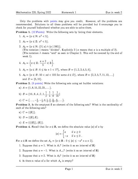
  • 220-HW1-2022-Solution - Mathematics 220, Spring 2022 Homework 1 Due In ...
  • 220 HW2 2022 Solution - Math220 - Problem 1. 1. Letn∈Z. If 3|(N−4 ...
  • MATH 220 Homework 5 - Math 220 Spring 2024 Gradescope Homework 5 Due ...
  • Math 109 - Mathematical Reasoning Homework 10 - ####### Shania Chiara ...
Find More About "Math220 Hw9 30029532 Proof Concepts Mathematics 220 Homework 9"

Explore exclusive offers, detailed information, and related services about math220 hw9 30029532 proof concepts mathematics 220 homework 9 from our trusted partners.

View Special Offers

Math 220-2

Math 220-2

Source: s3.studylib.net

Math220, Homework 1

Math220, Homework 1

Source: s2.studylib.net

Math 9 - Homework - MATH 2220 - Studocu

Math 9 - Homework - MATH 2220 - Studocu

Source: d20ohkaloyme4g.cloudfront.net

Math 9 - Homework - MATH 2220 - Studocu

Math 9 - Homework - MATH 2220 - Studocu

Source: d20ohkaloyme4g.cloudfront.net