Mores Pics | Update Everything

Mean Sd Linear Kinematics And Spatiotemporal Variables Over The First

Mean Sd Linear Kinematics And Spatiotemporal Variables Over The First

In addition to the information above, here is a curated collection of images related to Mean Sd Linear Kinematics And Spatiotemporal Variables Over The First.

  • Mean ± SD Values For Run-Up Spatiotemporal Variables. | Download ...
  • Mean Values Of The Spatiotemporal Parameters Of Both Groups; (A ...
  • Spatiotemporal, Kinematic, And Stability Measures (Mean ± S.D.) For ...
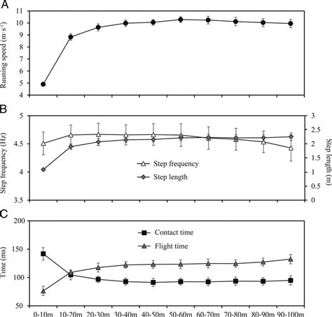
  • Chronological Change Of The Spatiotemporal Variables During The 100-M ...
  • Comparison Of Spatiotemporal Variables Under Two Target Conditions ...
Find More About "Mean Sd Linear Kinematics And Spatiotemporal Variables Over The First"

Explore exclusive offers, detailed information, and related services about mean sd linear kinematics and spatiotemporal variables over the first from our trusted partners.

View Special Offers