In addition to the information above, here is a curated collection of images related to Quantitative Analysis Of Gfp Concentrations By Saibr A D Raw Top.
- Quantitative Analysis Of Cell Surface Localized Haspb-gfp Fusion ...
- Quantitative Analysis Of Gfp Fluorescence From Different Transgenic ...
- Quantitative Analysis Of Green Fluorescent Protein (gfp) Fluorescence ...
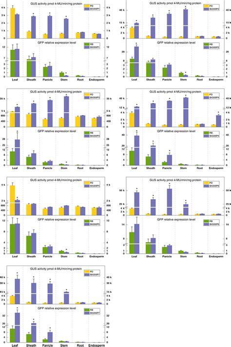
- Quantitative Analysis Of Gfp And Gus Expression In Various Tissues Of ...
- Quantitative Analysis Of Gfp Expression From Figure 10. The Error Bars ...
 
                             
                             
                             
                             
                            