Mores Pics | Update Everything

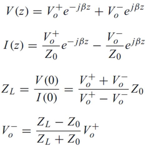
Solved 7 For A Transmission Line Terminated By A Load Or Cheggcom

Solved 7 For A Transmission Line Terminated By A Load Or Cheggcom

In addition to the information above, here is a curated collection of images related to Solved 7 For A Transmission Line Terminated By A Load Or Cheggcom.

  • Solved Terminated Transmission Line A Transmission Line Of | Chegg.Com
  • Solved Question 3 2 Pts A Transmission Line With A | Chegg.Com
  • Solved Consider A Transmission Line In The Figure 4. It Is | Chegg.Com
  • Solved 1. In A Transmission Line Terminated In A Load, A | Chegg.Com
  • Solved Problem 4 A Transmission Line Having A Characteristic | Chegg.Com
Find More About "Solved 7 For A Transmission Line Terminated By A Load Or Cheggcom"

Explore exclusive offers, detailed information, and related services about solved 7 for a transmission line terminated by a load or cheggcom from our trusted partners.

View Special Offers