In addition to the information above, here is a curated collection of images related to Solved An Equation Of A Hyperbola Is Given 4 25 A Find The Chegg Com.
- Solved The Graph Of A Hyperbola Is Given. Which Of The | Chegg.com
- Solved An Equation Of A Hyperbola Is Given 4 25 (a) Find The | Chegg.com
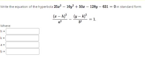
- Solved Write The Equation Of The Hyperbola | Chegg.com
- Solved Graph The Given Hyperbola (y-2)225-(x-4)236=1graph By | Chegg.com
- Solved Graph The Hyperbola Given By The Equation 2 9x² - 4y² | Chegg.com
 
                             
                             
                             
                            