Mores Pics | Update Everything

Solved Consider A 1 Dimensional Harmonic Oscillator Or Cheggcom

Solved Consider A 1 Dimensional Harmonic Oscillator Or Cheggcom

In addition to the information above, here is a curated collection of images related to Solved Consider A 1 Dimensional Harmonic Oscillator Or Cheggcom.

  • Solved Consider A One-Dimensional Simple Harmonic Oscillator | Chegg.Com
  • Solved Problem 1 Consider A One-Dimensional, Simple Harmonic | Chegg.Com
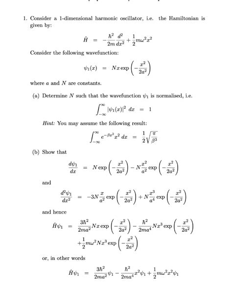
  • Solved 1. Consider A 1-Dimensional Harmonic Oscillator, I.E. | Chegg.Com
  • Solved Consider The One-Dimensional Harmonic Oscillator. An | Chegg.Com
  • 1. One Dimensional Harmonic Oscillator. The One Dimensional Harmonic ...
Find More About "Solved Consider A 1 Dimensional Harmonic Oscillator Or Cheggcom"

Explore exclusive offers, detailed information, and related services about solved consider a 1 dimensional harmonic oscillator or cheggcom from our trusted partners.

View Special Offers