Mores Pics | Update Everything

Solved Linear Systems Solve The Following System Of Or Cheggcom

Solved Linear Systems Solve The Following System Of Or Cheggcom

In addition to the information above, here is a curated collection of images related to Solved Linear Systems Solve The Following System Of Or Cheggcom.

  • Solved Solving Systems Of Linear Equations. Solve The | Chegg.Com
  • Solved Solve The Following Systems Of Linear Equations By | Chegg.Com
  • Solved 2. For Each Of The Following Linear Systems, Either | Chegg.Com
  • Solved Solve The Following System Of Linear Equations: | Chegg.Com
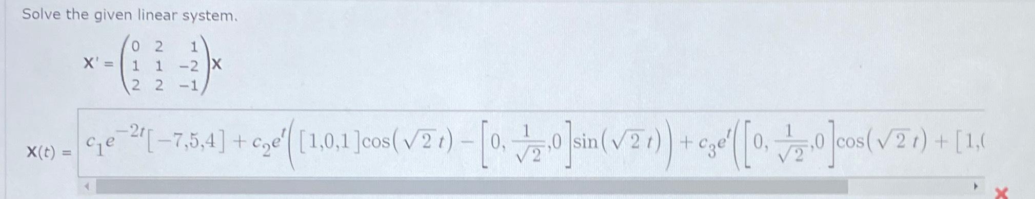
  • Solved Solve The Given Linear System. | Chegg.Com
Find More About "Solved Linear Systems Solve The Following System Of Or Cheggcom"

Explore exclusive offers, detailed information, and related services about solved linear systems solve the following system of or cheggcom from our trusted partners.

View Special Offers