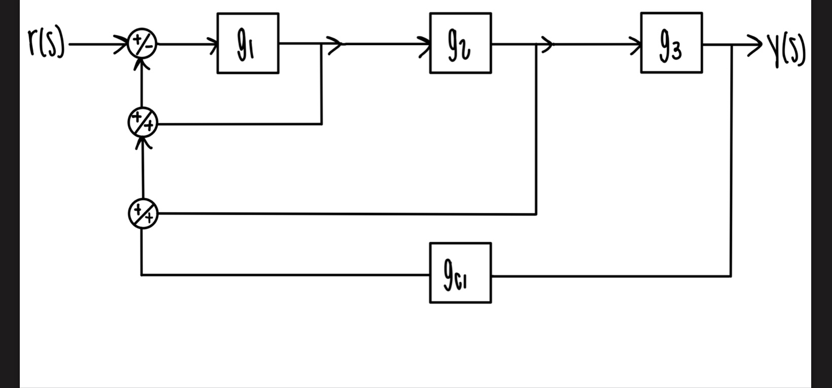
In addition to the information above, here is a curated collection of images related to Solved Problem 1 Determine The Closed Loop Transfer Chegg Com.
- Solved Problem 1. (20 Points) Find The Closed Loop Transfer | Chegg.com
- Solved I Need These Solved And My Proffesor Gave Me No Hints | Chegg.com
- Solved For The Following Block Diagram, Find The Closed Loop | Chegg.com
- Solved Find Closed Loop System Transfer Function Damping | Chegg.com
- Solved Find The Transfer Function Of The Closed Loop System | Chegg.com
 
                                 
                                 
                                 
                                 
                                 
                                 
                                 
                                 
                                 
                                 
                                 
                                 
                                 
                                 
                                 
                             
                             
                             
                             
                            