Mores Pics | Update Everything

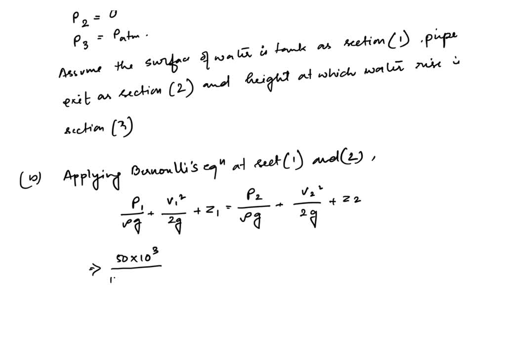
Solved Q 4 An Incompressible Fluid Water Flows Steadily Or Cheggcom

Solved Q 4 An Incompressible Fluid Water Flows Steadily Or Cheggcom

In addition to the information above, here is a curated collection of images related to Solved Q 4 An Incompressible Fluid Water Flows Steadily Or Cheggcom.

  • Solved An Incompressible Newtonian Fluid Flows Steadily Down | Chegg.Com
  • Solved Problem 4.2 Incompressible Fluid Flows Steadily | Chegg.Com
  • [Solved]: Help With C And D Problem 4-31: Water Flows Stead
  • Solved Water, Considered An Inviscid, Incompressible Fluid, | Chegg.Com
  • Solved Water (Assumed Frictionless And Incompressible) Flows | Chegg.Com
Find More About "Solved Q 4 An Incompressible Fluid Water Flows Steadily Or Cheggcom"

Explore exclusive offers, detailed information, and related services about solved q 4 an incompressible fluid water flows steadily or cheggcom from our trusted partners.

View Special Offers