Mores Pics | Update Everything

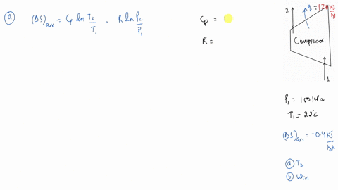
Solved R 1 Entropy Change An Ideal Gas Undergoes One Of Two Or Cheggcom

Solved R 1 Entropy Change An Ideal Gas Undergoes One Of Two Or Cheggcom

In addition to the information above, here is a curated collection of images related to Solved R 1 Entropy Change An Ideal Gas Undergoes One Of Two Or Cheggcom.

  • Solved 2. An Ideal Gas Undergoes The Following Reversible A) | Chegg.Com
  • (Solved) - 3: Calculate The Entropy Change When One Mole Of An Ideal ...
  • [Solved] | SolutionInn
  • Solved Question 12 10 Pts The Specific Entropy Change Of An | Chegg.Com
  • Solved Calculate The Change In Entropy Done During An | Chegg.Com
Find More About "Solved R 1 Entropy Change An Ideal Gas Undergoes One Of Two Or Cheggcom"

Explore exclusive offers, detailed information, and related services about solved r 1 entropy change an ideal gas undergoes one of two or cheggcom from our trusted partners.

View Special Offers

[Solved] | SolutionInn

[Solved] | SolutionInn

Source: dsd5zvtm8ll6.cloudfront.net