Mores Pics | Update Everything

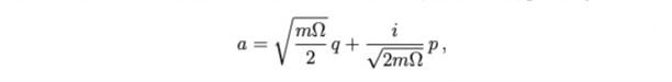
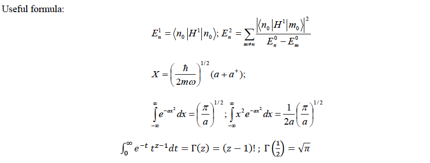
Solved We Consider A 1 Dimensional Simple Harmonic Chegg Com

Solved We Consider A 1 Dimensional Simple Harmonic Chegg Com

In addition to the information above, here is a curated collection of images related to Solved We Consider A 1 Dimensional Simple Harmonic Chegg Com.

  • Solved 1. Consider A 1-Dimensional Harmonic Oscillator, I.E. | Chegg.Com
  • Solved Consider A One-Dimensional Classical Harmonic | Chegg.Com
  • Solved Exercise 2 Consider The One-Dimensional Harmonic | Chegg.Com
  • Solved Consider A One-Dimensional Harmonic Oscillator, Find | Chegg.Com
  • Solved Consider A 1-Dimensional Harmonic Oscillator | Chegg.Com
Find More About "Solved We Consider A 1 Dimensional Simple Harmonic Chegg Com"

Explore exclusive offers, detailed information, and related services about solved we consider a 1 dimensional simple harmonic chegg com from our trusted partners.

View Special Offers