Explore a complete collection of images and ideas about Solvedmultiply 3 A 4 B2 Or Numerade below. This gallery showcases a variety of concepts, styles, and inspiration related to your search.

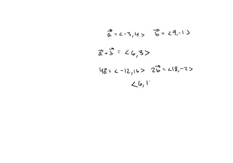
Key concepts found in this collection include: ⏩solved:multiply. (3 a-4 b)^2 | numerade -(2 a-3 b) (2 x-3)(3 x+4) solved: 1. multiply the following: 4 2 solved:find 𝐚+𝐛, 𝐚+2 𝐛,|𝐚|, and |𝐚-𝐛|. 𝐚=4 𝐢-3 𝐣+2 𝐤, 𝐛=2 𝐢-4 𝐤 solved:compute 𝐚-3 𝐛 . 𝐚=3 𝐢-𝐣+4 𝐛=5 𝐢+𝐣 𝐚= -3,4 , 𝐛= 9,-1 solved a2+ab−12b2 (a+4b)(a−3b) (a+4)(a−3) (a−4b...

Browse the full image gallery below for more ideas and inspiration.
Find More About "Solvedmultiply 3 A 4 B2 Or Numerade"
Explore exclusive offers, detailed information, and related services about solvedmultiply 3 a 4 b2 or numerade from our trusted partners.
View Special Offers